News
Site news
Researchers from the Group of Characterization of Materials at the Department of Physics of the UPC along with international collaborators have discovered a spin-crossover compound that undergoes a giant thermal response driven by pressure. This work, published in Advanced Materials, open routes to exploit this type of compounds in future solid-state refrigeration technologies as alternative to current methods that use harmful fluids
An international team led by scientists at GFZ Helmholtz Centre Potsdam, in collaboration with colleagues by Spanish, Italian and US institutions, where collaborates Estefania Blanch from the department of Physics of the EPSEB, is publishing a new scientific work on induced seismicity in Europe in the Journal Nature Communications.
Raúl Sáez García defended his thesis directed by Xavier Prats i Menéndez on October 1, 2021 at the Baix Llobregat Campus. Titled "Traffic Synchronization with Controlled Time of Arrival for Cost-Efficient Trajectories in High-Density Terminal Airspace", the thesis proposes a series of methods and concepts of operations with the aim of improving the efficiency of air operations in airspace terminal.
Jordi Ortiz de Urbina defended his thesis directed by Gemma Sesé Castel on September 30, 2021 at the North Campus. Titled “Orientational dynamics and local order in supercooled molecular liquids”, the thesis analyzes the behavior at temperatures close to the vitreous transition thanks to the results obtained in molecular dynamics simulations
Martí Català defended his thesis directed by Clara Prats and Sergio Alonso from the Computational Biology and Complex Systems group (BIOCOM-SC) on October 14, 2021 at the Castelldefels Campus. The thesis is entitled "Mathematical models for the study of infectious diseases, from understanding to prediction", and analyzes the application of mathematical models to the spread of Tuberculosis and Covid-19
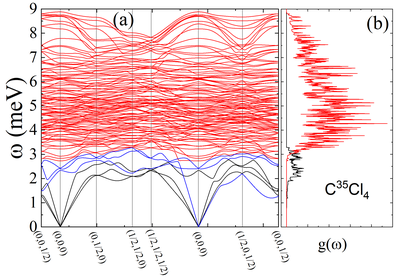
Jonathan Fernando Gebbia defended his thesis co-directed by Josep Lluís Tamarit and Michela Romanini on October 6th at the Besòs campus (EEBE). Titled "Emerging glassy properties in molecular crystals", the thesis presents the study of low temperature anomalies of glasses found in different molecular crystals by means of low temperature calorimetry, inelastic neutron scattering, and simulations based on ab-initio DFT
PhD student Gerard Pascual and professor Jordi Boronat of the research group Approaches to the first principles in condensed matter physics: quantum effects and complexity; have published a paper in the journal Physical Review Letters, where it is theoretically described how a polaron, the result of the interaction of an impurity with a gas of bosons in the condensation phase, disappears due to the effect of temperature
Yuri Kubyshin from NEMEN research group along with physicists from the Skobeltsyn Institute of Nuclear Physics of the Moscow State University have published a paper devoted to an analysis of beam dynamics in electron accelerators of the racetrack microtron (RTM) type and searching for improvements of their characteristics.
Share: